Skip to main content
Scholar Twinning Article

Gestational Age Estimation Based on Fetal Pelvimetry on Fetal Ultrasound in Iraqi Women


Abstract

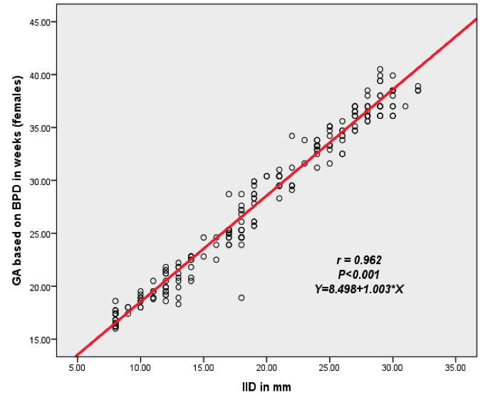
Ultrasound is an integral part of obstetric practice, and assessment of gestational age (GA) is a central element of obstetric ultrasonography. Sonographic estimation of GA is derived from calculations based on fetal measurements. Numerous equations for GA calculation from fetal biometry have been adopted in routine practice. This study reports a new method of estimating GA in the second and third trimester using interischial distance (IID), the distance between the two ischial primary ossification centers, on fetal ultrasound. Four hundred women with uncomplicated normal singleton pregnancies from 16 weeks to term were examined. Standard fetal obstetric ultrasound was done measuring biparietal diameter (BPD) and femur length (FL) for each fetus. The IID, in millimeters, was correlated with the GA in weeks based upon the BPD and FL individually, and the BPD and FL together. Statistical analysis showed strong correlation between the IID and GA calculated from the FL with correlation coefficient (r =0.989, P < 0.001). Strong linear correlation was also found between the IID and GA based upon BPD and BPD+FL. Further statistical analysis using regression equations also showed that the IID was slightly wider in female fetuses, but this difference was not statistically significant. Resulting from this analysis, we have arrived at an easy-to-use equation: GA Weeks = (IID mm + 8) ±1 week. We feel this method can be especially applicable in the developing world, where midwives may not have access to software for fetal biometry in their basic handheld ultrasound machines. Even more sophisticated machines may not come with loaded software for obstetrics analysis. There are several limitations to this study, discussed below. We recommend further studies correlating the IID with other biometric parameters.

Keywords: ultrasound, sonography, interischial distance, fetal ultrasound, gestational age estimation, fetal biometrics

How to Cite:

Al-Esawi, S. R., Al-Hashimi, N. M., Ali, F. S. & Hussain, S., (2016) “Gestational Age Estimation Based on Fetal Pelvimetry on Fetal Ultrasound in Iraqi Women”, Journal of Global Radiology 2(1): 3. doi: https://doi.org/10.7191/jgr.2016.1027

Rights: © 2016 the Author(s). This open access article is distributed under a Creative Commons Attribution 4.0 License (https://creativecommons.org/licenses/by/4.0/).

Downloads:
Download PDF

901 Views

961 Downloads

Published on
2016-08-12